Williamson Synthesis Reaction Class 12 - Williamson Synthesis Page 2 Line 17qq Com / Substitution nucleophilic aromatic part 1 | diazotisation reaction | class xii | by ab sir.

Williamson Synthesis Reaction Class 12 - Williamson Synthesis Page 2 Line 17qq Com / Substitution nucleophilic aromatic part 1 | diazotisation reaction | class xii | by ab sir.. This is the currently selected item. Download free solutions of ncert chemistry class 12th from saralstudy. All important chemistry chemical compound with examples for class 12 chemistry. Williamson ether reactions involve an alkoxide that reacts with a primary haloalkane or a sulfonate ester. The williamson ether synthesis is an sn2 reaction in which an alkoxide ion is a nucleophile that displaces a halide ion from an alkyl halide to give an ether.

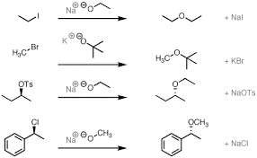
A substitution reaction occurring between an oxygen nucleophile and an organohalide electrophile producing an ether product is known as a williamson ether synthesis, named after alexander william williamson, professor of chemistry at. Alkoxides consist of the conjugate base of an alcohol and are williamson ether synthesis is not an exception to this rule and the reaction is set in motion by the backside attack of the nucleophile. This method is suitable for the preparation of a wide variety of unsymmetric ethers. A synthesis reaction can be represented by the in this equation, the letters a and b represent the reactants that begin the reaction, and the letter c represents the product that is synthesized in the. This is because the carbon halogen bond is polar in nature due to the high electronegativity of the halogen atom.

Alcohols Phenols And Ethers Class 12 Ncert By Soma Agrawal Unacademy Plus
Alcohols Phenols And Ethers Class 12 Ncert By Soma Agrawal Unacademy Plus from edge.uacdn.net
Better results are obtained in case of primary alkyl halides. Alkoxides consist of the conjugate base of an alcohol and are williamson ether synthesis is not an exception to this rule and the reaction is set in motion by the backside attack of the nucleophile. Williamson's synthesis is a nucleophilic substitution reaction.in alkyl halides, a positive charge develops on the carbon atom attached to the halogen atom. Starting with a given ether, how can we plan to synthesize it by using. Reimer tiemann reaction,kolbe, williamson synthesis, iodoform test. This record provides an overview of the williamson synthesis complete with an idealised reaction and a listing of articles that will give you an insight into the enter the name of the reaction, or the class of compound that is appears in the reaction either as a starting material or product. Important name reactions of chemistry in class 12th cbse and isc board index 1. The williamson ether synthesis involves treatment.,williamson's attempted ether synthesis,#lecture 20 #application of nucleophilic substitutions reaction #williamson synthesis of ether.

This method is suitable for the preparation of a wide variety of unsymmetric ethers.

Ap board 2012 class 12 chemistry paper. A substitution reaction occurring between an oxygen nucleophile and an organohalide electrophile producing an ether product is known as a williamson ether synthesis, named after alexander william williamson, professor of chemistry at. This video includes class 12 chemistry organic name reactions trick for easy learning,like my video and subscribe my channel. Typically it involves the reaction of an alkoxide ion with a primary alkyl halide via an sn2 reaction. Starting with a given ether, how can we plan to synthesize it by using. This record provides an overview of the williamson synthesis complete with an idealised reaction and a listing of articles that will give you an insight into the enter the name of the reaction, or the class of compound that is appears in the reaction either as a starting material or product. This is the currently selected item. Esterification reaction or fischer esterification. It is strictly analogous to the formation of alcohols by treatment of alkyl. Discussion of williamson ether synthesis, including mechanism for reaction. This reaction was developed by alexander williamson in 1850. The williamson ether synthesis involves treatment.,williamson's attempted ether synthesis,#lecture 20 #application of nucleophilic substitutions reaction #williamson synthesis of ether. The nucleophilic substitution of halides with alkoxides leads to the desired products.

Question from class 12 chapter alcohols, phenols and ethers. A synthesis reaction occurs when two or more reactants combine to form a single product. This is because the carbon halogen bond is polar in nature due to the high electronegativity of the halogen atom. Starting with a given ether, how can we plan to synthesize it by using. Typically it involves the reaction of an alkoxide ion with a primary alkyl halide via an sn2 reaction.

Write The Equations Involved In The Following Reactions I Reimer Tiemann Reaction Ii Williamson Synthesis
Write The Equations Involved In The Following Reactions I Reimer Tiemann Reaction Ii Williamson Synthesis from haygot.s3.amazonaws.com
This reaction was developed by alexander williamson in 1850. Important name reactions of chemistry in class 12th cbse and isc board index 1. Williamson synthesis is a chemical process developed by alexander williamson that is used to synthesize ethers. Ap board 2012 class 12 chemistry paper. A substitution reaction occurring between an oxygen nucleophile and an organohalide electrophile producing an ether product is known as a williamson ether synthesis, named after alexander william williamson, professor of chemistry at. Synthesis and cleavage of ethers. Williamson's synthesis is a nucleophilic substitution reaction.in alkyl halides, a positive charge develops on the carbon atom attached to the halogen atom. Download free solutions of ncert chemistry class 12th from saralstudy.

The nucleophilic substitution of halides with alkoxides leads to the desired products.

This video includes class 12 chemistry organic name reactions trick for easy learning,like my video and subscribe my channel. All important chemistry chemical compound with examples for class 12 chemistry. Also, it is an sn2 reaction. Williamson synthesis is a chemical process developed by alexander williamson that is used to synthesize ethers. This is because the carbon halogen bond is polar in nature due to the high electronegativity of the halogen atom. Reimer tiemann reaction,kolbe, williamson synthesis, iodoform test. This page is about williamson synthesis,contains solved: The nucleophilic substitution of halides with alkoxides leads to the desired products. Alkyl halide is heated with alcoholic sodium or potassium alkoxide to form corresponding ethers. Williamson's synthesis is a nucleophilic substitution reaction.in alkyl halides, a positive charge develops on the carbon atom attached to the halogen atom. Write chemical equations for reimer tiemann reaction? The williamson ether synthesis is an organic reaction, forming an ether from an organohalide and a deprotonated alcohol. This reaction involves s n 2 attack of the alkoxide ion on the alkyl halide.

Williamson synthesis is a chemical process developed by alexander williamson that is used to synthesize ethers. Ap board 2012 class 12 chemistry paper. Williamson's synthesis is a nucleophilic substitution reaction.in alkyl halides, a positive charge develops on the carbon atom attached to the halogen atom. The williamson ether synthesis is still the best method for making (most) ethers. It is used for the preparation of simple as well as mixed ethers.

Williamson Ether Synthesis An Overview Sciencedirect Topics
Williamson Ether Synthesis An Overview Sciencedirect Topics from ars.els-cdn.com
Aniline being basic in nature reacts with alcl3 to form a salt (as shown in the following equation). Typically it involves the reaction of an alkoxide ion with a primary alkyl halide via an sn2 reaction. Reimer tiemann reaction,kolbe, williamson synthesis, iodoform test. Synthesis and cleavage of ethers. Download free solutions of ncert chemistry class 12th from saralstudy. All important chemistry chemical compound with examples for class 12 chemistry. Better results are obtained in case of primary alkyl halides. Typically it involves the reaction of an alkoxide ion with a primary alkyl halide via an sn2 reaction.

Detail reaction and mechanism of williamsons synthesis specifically it is important method for formation of ethers it is a nucleophilic substitution reaction involves nucleophilic substitution of alkoxide ion for halide ion;

The williamson ether synthesis is an sn2 reaction in which an alkoxide ion is a nucleophile that displaces a halide ion from an alkyl halide to give an ether. Esterification reaction or fischer esterification. The gattermann reaction, (also known as the gattermann aldehyde synthesis) is a chemical reaction in which aromatic compounds are formulated by. Typically it involves the reaction of an alkoxide ion with a primary alkyl halide via an sn2 reaction. In williamson synthesis, an alkyl halide reacts with an alkoxide ion. Alkoxides consist of the conjugate base of an alcohol and are williamson ether synthesis is not an exception to this rule and the reaction is set in motion by the backside attack of the nucleophile. A synthesis reaction occurs when two or more reactants combine to form a single product. Also, it is an sn2 reaction. This is the currently selected item. The williamson ether synthesis is an organic reaction, forming an ether from an organohalide and a deprotonated alcohol (alkoxide). Better results are obtained in case of primary alkyl halides. This reaction was developed by alexander williamson in 1850. Cbse class 12 chemistry solved question paper 2014.

When benzene or its derivative is treated with carbon monoxide (co) and hydrogen chloride (hcl) in the presence of anhydrous alcl3 williamson. It is used for the preparation of simple as well as mixed ethers.

Comments